Temática de Tsunamis

Antecedentes de divulgación:

1.- Al igual que en la temática de terremotos, las explicaciones de este apartado fueron incluidas en el “Coloquio de Sismicidad” ofrecido a profesionistas de la Coordinación Estatal de Protección Civil de Oaxaca, abril 2015. Se dispondrán ahora en esta página para cualquier entidad de nuestro país cuyo ejercicio esté relacionado con la prevención y mitigación de desastres por tsunamis.

2.- En el Foro de Seguridad Nacional del Senado de la República (noviembre 2018), se incluyeron los tsunamis en una conferencia sobre terremotos. Se mostraron dos videos producto de reproducción computacional.

Definición, generación y arribo

Un tsunami es una onda oceánica generada en su mayoría como un efecto secundario de los terremotos. Los hay también generados por erupciones volcánicas marinas y grandes deslizamientos terrestres en las costas. Pueden existir casos de tsunamis generados por impacto de meteoritos, pero éstos sólo han sucedido rara vez en el pasado geológico. Las condiciones marinas no son el único caso para generación de tsunamis, podrían existir en grandes cuerpos de agua en el interior de continentes.

La generación de un tsunami por terremoto, toma la misma explicación que para el caso del mismo sismo, sólo que ahora las placas tectónicas se encuentran en un ambiente marino. El desplazamiento generado en la falla debe necesariamente componerse de movimiento vertical, como sucede en ciertos sismos del cinturón circumpacífico. Ese movimiento vertical debe transmitirse al agua del mar para generar la ola inicial. En otro caso diferente, los límites de placa con movimiento lateral horizontal (transformante), no son generadores de tsunamis, ejemplo es la Falla de San Andrés en Estados Unidos. Hacia el norte de esta falla continuando por la línea de costa, hacia Seattle, existe un sistema de alertamiento de tsunamis, dado que esa zona si es potencial para generarlos.

La tectónica de placas establece un movimiento relativo de las dos placas al ocurrir un sismo. Si ocurre movimiento vertical separado por el plano de falla, un bloque se eleva y el otro se hunde (idealmente). Si el desplazamiento relativo de los bloques se transmite al fondo oceánico, entonces suceden un levantamiento y un hundimiento del agua correspondiente a cada bloque (Figura). En el lugar de origen del tsunami que se denotará como epicentro tsunamigénico, la ola inicial contará con una cresta y un valle, e iniciará su propagación a través del océano, con el valle y la cresta como frente de ola, dirigiéndose en direcciones opuestas. Detrás de cada frente le siguen otras olas.

Bajo las condiciones antes explicadas el tsunami viajará hacia las costas con dos frentes de ola inicial: cresta y valle. En las costas donde arriba el valle inicial, el agua de mar se retira. En contraste, en las costas donde arriba la cresta inicial, la ola golpea sin un retiro del agua. Con las redes sociales actuales en el tema de divulgación con videos en tsunamis reales, se ha podido comprobar los dos casos anteriores.

Origen Tsunami

Epicentro tsunamigénico, área y línea tsunamigénica

El lugar de generación del tsunami, se denota como epicentro tsunamigénico y es el sitio donde se induce el movimiento vertical al agua marina, cualquiera sea su origen. El epicentro tsunamigénico podría diferir de la ubicación del epicentro ordinario reportado, ubicándose en el sitio donde las placas inducen el movimiento al agua marina. Según la tectónica de placas el epicentro tsunamigénico tenderá a ubicarse hacia la intersección del plano de falla con el piso oceánico. Esta intersección en la mayoría de las zonas de subducción del Pacífico es la línea de trinchera.

Como se explicó en la parte de terremotos, la falla que genera el sismo posee un área o superficie de falla, con sus parámetros de ancho de falla y largo de falla (en su equivalencia rectangular). La transmisión de movimiento al agua marina en la extensión del área de falla se puede denotar como área tsunamigénica. Pero el principio de rigidez de placa, apuntaría más a una línea tsunamigénica, que sería la línea de intersección del plano de falla con la superficie del fondo oceánico, o sea la línea de trinchera.

Los parámetros anteriores son tomados en cuenta para la ubicación del tsunami, cálculo de tiempos de arribo y modelado computacional considerados en esta página.

Altura o amplitud de ola

Como ya se explicó, en el sitio de generación de tsunami sucede un movimiento vertical inducido al agua marina. La altura del movimiento inicial depende del desplazamiento liberado al momento del sismo. Este desplazamiento es proporcional a la vez a la magnitud del terremoto. Cuanto mayor sea la magnitud del sismo, mayor será el desplazamiento liberado en el hipocentro. Pero no es una regla que un gran sismo con su desplazamiento inicial genere un tsunami, porque va a depender de la profundidad del hipocentro y su ubicación en o cerca del mar. Si el sismo es suficientemente profundo en una zona costera o marina, aun tratándose de un gran terremoto, no generará tsunami. Ese fue el caso del sismo de Chiapas, México del 07 de septiembre, 2017 (M = 8.2).

No hay fórmulas o ecuaciones para indicar la ocurrencia de tsunami en función de la magnitud y la profundidad. Para resolver esta dificultad, se recurre al registro en tiempo real de la altura de ola en una zona cercana al epicentro tsunamigénico. Esto consultando las estaciones de la red mareográfica internacional. Una vez que se checó la altura de la ola en la estación mareográfica más cercana al epicentro, a criterio del sismólogo, la ola observada será o no indicador para disparar la alerta de tsunami.

La altura del agua marina inducida por el sismo, se logra medir en zonas cercanas al epicentro tsunamigénico gracias a la existencia de una red mareográfica mundial. Por ejemplo el tsunami de Sumatra (2004) registró una amplitud de ola de 1.5 metros en una zona a 550 km del sismo (Phuket, Tailandia). Según los estudios de fuente sísmica, un sismo de magnitud 8.0, similar al que sucedió en México en 1985, puede liberar un desplazamiento de 6.0 metros. En consecuencia, los sismos de magnitud 9.0 tendrán que liberar desplazamientos mayores a los 6.0 metros. Si la medida mareográfica cercano a la zona epicentral del sismo de Sumatra (2004) es aproximadamente 1.5 metros, quiere decir que el desplazamiento inducido al agua marina es una porción del desplazamiento total liberado por el terremoto.

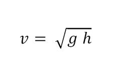
Velocidad del tsunami y tiempo de arribo

La velocidad de propagación de un tsunami es comparable con la velocidad con la que viaja un avión comercial. En términos técnicos la velocidad de un tsunami depende de la profundidad del agua marina y de la gravedad terrestre. La fórmula para definir la velocidad de un tsunami se expresa de la siguiente manera:

El hecho de que un tsunami viaje a una velocidad comparable a la de un avión comercial, permite alertar su llegada a las costas de países lejanos del lugar de su generación. Por ejemplo, un tsunami generado en la zona de Japón, tarda aproximadamente 13.5 horas en llegar a la parte central de las costas de México (costas de Guerrero) y tarda aproximadamente 22 horas en llegar a las costas de Chile. Esto se verificó con el tsunami de Japón del año 2011. Lo anterior permite implementar sistemas de alertamiento de tsunamis para los países costeros. Similar al caso de la Alerta Sísmica en México que se explicó en terremotos, el tiempo que tarda el tsunami a una costa determinada, se denomina tiempo de alertamiento de tsunami, con el mismo propósito: otorgar un tiempo para desalojar playas o ponerse a salvo de la ola.

Actualmente en cualquier parte del mundo (salvo excepciones especiales), es posible alertar la llegada de tsunamis gracias a los avances en investigaciones sismológicas, electrónica, telecomunicaciones e internet. La mitigación de los desastres por tsunamis se ve favorecida gracias al vínculo de los sistemas de protección civil con los comités científicos de cada país. México es uno de ellos y debido a sus avances, contribuye al alertamiento de tsunamis en otros países costeros del circumpacífico.